Home Browse Text SearchFunctional Group SearchStructure SearchPreferences Administration

selected data collection: 1

IRIS SDF: browse content


1
  <<    <    >    >>  

1:762360 C23H28N4O5
hit structure
1:762361 C23H30N2O5
hit structure
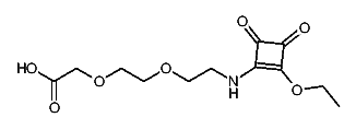
1:762362 C27H34N2O8
hit structure
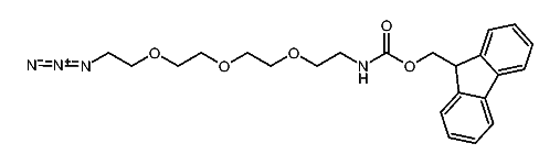
1:762363 C27H34N2O9
hit structure
1:762364 C14H22N4O6
hit structure
1:762365 C12H17NO7
hit structure
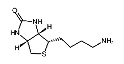
1:762366 C8H15N3O2
hit structure
1:762367 C12H22F6N6OP2
hit structure
1:762368 C12H17NO5Si
hit structure
1:762369 C5H6N2O
hit structure
1:762370 C24H37N5O3S3
hit structure
1:762371 C20H29N5O5S
hit structure
1:762372 C23H33N5O7S
hit structure
1:762373 C22H34N4O5S
hit structure
1:762374 C9H17N3OS
hit structure
1:762375 C20H17Cl
hit structure
1:762376 C6H7ClIN
hit structure
1:762377 C8H9NO2
hit structure
1:762378 C22H20O2S
hit structure
1:762379 C16H15F5N2O3S
hit structure
1:762380 C17H24N6O5
hit structure
1:762381 C18H23N3O5
hit structure
1:762382 C27H40N6O7S
hit structure
1:762383 C36H39N5O7
hit structure
1:762384 C15H27N5O3S2
hit structure

1
  <<    <    >    >>  

entries in data collection: 762950