Home Browse Text SearchFunctional Group SearchStructure SearchPreferences Administration

selected data collection: 1

IRIS SDF: browse content


1
  <<    <    >    >>  

1:761759 C150H289N4O61P
hit structure
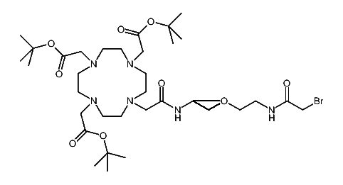
1:761760 C30H49BrF6N6O15
hit structure
1:761761 C118H233N2O46P
hit structure
1:761762 C42H79BrN6O19
hit structure
1:761763 C144H285N2O59P
hit structure
1:761764 C109H205F4NO52
hit structure
1:761765 C25H28O3S
hit structure
1:761766 C103H205NO52
hit structure
1:761767 C78H151BrN6O31
hit structure
1:761768 C117H214N2O53
hit structure
1:761769 C110H210N2O53
hit structure
1:761770 C102H204N2O51
hit structure
1:761771 C28H54Br2N2O13
hit structure
1:761772 C193H296N12O60
hit structure
1:761773 C64H82N4O15
hit structure
1:761774 C93H184NO34P
hit structure
1:761775 C163H299N4O60P
hit structure
1:761776 C159H310N7O65P
hit structure
1:761777 C165H298N3O64P
hit structure
1:761778 C164H319N6O65PS
hit structure
1:761779 C201H390N5O86P
hit structure
1:761780 C237H460N12O112
hit structure
1:761781 C141H256N12O64
hit structure
1:761782 C10H19BrN4O4
hit structure
1:761783 C26H51BrN4O12
hit structure

1
  <<    <    >    >>  

entries in data collection: 762950