Home Browse Text SearchFunctional Group SearchStructure SearchPreferences Administration

selected data collection: 1

IRIS SDF: browse content


1
  <<    <    >    >>  

1:761559 C17H33NO5S2
hit structure
1:761560 C25H49NO9S2
hit structure
1:761561 C33H65NO13S2
hit structure
1:761562 C57H113NO25S2
hit structure
1:761563 C33H59NO17S
hit structure
1:761564 C79H159NO38
hit structure
1:761565 C48H99NO24
hit structure
1:761566 C72H147NO36
hit structure
1:761567 C8H17N3O4
hit structure
1:761568 C48H97N3O24
hit structure
1:761569 C72H145N3O36
hit structure
1:761570 C26H52O13S
hit structure
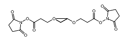
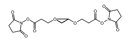
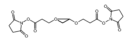
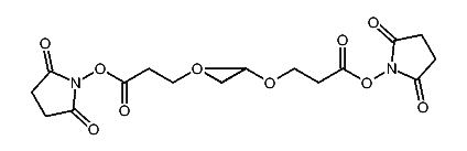
1:761571 C22H36N2O11
hit structure
1:761572 C87H161N3O41S2
hit structure
1:761573 C26H40N2O15
hit structure
1:761574 C38H64N2O21
hit structure
1:761575 C46H80N2O25
hit structure
1:761576 C54H96N2O29
hit structure
1:761577 C62H112N2O33
hit structure
1:761578 C24H22F8O8
hit structure
1:761579 C66H106F8O29
hit structure
1:761580 C16H20N2O10
hit structure
1:761581 C18H24N2O11
hit structure
1:761582 C19H37N3O10
hit structure
1:761583 C27H53N3O14
hit structure

1
  <<    <    >    >>  

entries in data collection: 768580