Home Browse Text SearchFunctional Group SearchStructure SearchPreferences Administration

selected data collection: 1

IRIS SDF: browse content


1
  <<    <    >    >>  

1:758656 C44H37NO4S
hit structure
1:758657 C25H24N2O6S
hit structure
1:758658 C34H30F3NO7S
hit structure
1:758659 C39H42N4O7S
hit structure
1:758660 C23H27NO5
hit structure
1:758661 C30H32BNO6
hit structure
1:758662 C34H39BN2O7
hit structure
1:758663 C28H28N2O6
hit structure
1:758664 C45H62N10O13
hit structure
1:758665 C51H72N12O15
hit structure
1:758666 C29H32N2O6
hit structure
1:758667 C25H29NO6
hit structure
1:758668 C26H31NO6
hit structure
1:758669 C27H33NO6
hit structure
1:758670 C25H27NO4
hit structure
1:758671 C28H27NO4
hit structure
1:758672 C28H27NO4
hit structure
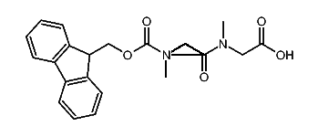
1:758673 C18H17NO4
hit structure
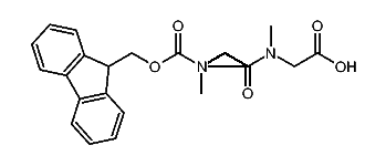
1:758674 C18H17NO4
hit structure
1:758675 C34H40N4O7S
hit structure
1:758676 C36H41F3N4O7S
hit structure
1:758677 C38H32N2O5
hit structure
1:758678 C39H34N2O6
hit structure
1:758679 C23H25NO6
hit structure
1:758680 C25H20N2O4S
hit structure

1
  <<    <    >    >>  

entries in data collection: 762950