Home Browse Text SearchFunctional Group SearchStructure SearchPreferences Administration

selected data collection: 1

IRIS SDF: browse content


1
  <<    <    >    >>  

1:758233 C12H21NO4
hit structure
1:758234 C12H21NO4
hit structure
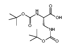
1:758235 C13H24N2O6
hit structure
1:758236 C17H24N2O5S
hit structure
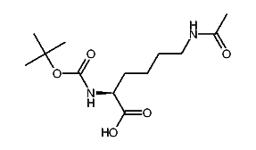
1:758237 C9H14N2O4
hit structure
1:758238 C25H40N4O7S
hit structure
1:758239 C23H31N3O6
hit structure
1:758240 C12H23NO4S2
hit structure
1:758241 C11H21N3O5
hit structure
1:758242 C27H34N4O8
hit structure
1:758243 C13H24N2O5
hit structure
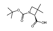
1:758244 C12H21NO4
hit structure
1:758245 C12H23NO4S
hit structure
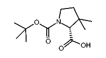
1:758246 C11H19NO4
hit structure
1:758247 C25H30N2O6S
hit structure
1:758248 C20H32N4O6S
hit structure
1:758249 C12H16N2O6
hit structure
1:758250 C13H18N2O6
hit structure
1:758251 C13H24N2O8
hit structure
1:758252 C18H32N2O8Se2
hit structure
1:758253 C27H34N2O6
hit structure
1:758254 C14H16N2O6
hit structure
1:758255 C14H17NO4
hit structure
1:758256 C27H40N4O7S
hit structure
1:758257 C27H43N7O7S
hit structure

1
  <<    <    >    >>  

entries in data collection: 762950