Home Browse Text SearchFunctional Group SearchStructure SearchPreferences Administration

selected data collection: 1

IRIS SDF: browse content


1
  <<    <    >    >>  

1:757922 C32H42N2O8
hit structure
1:757923 C32H42N2O8
hit structure
1:757924 C15H21NO4
hit structure
1:757925 C15H21NO4
hit structure
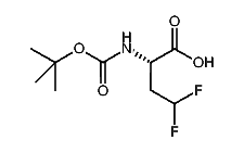
1:757926 C9H15F2NO4
hit structure
1:757927 C9H14F3NO4
hit structure
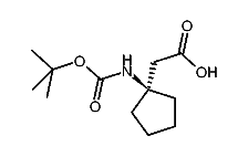
1:757928 C10H19NO4
hit structure
1:757929 C10H19NO4
hit structure
1:757930 C19H21NO4
hit structure
1:757931 C13H24N2O5S2
hit structure
1:757932 C9H15F2NO4
hit structure
1:757933 C14H28N2O4
hit structure
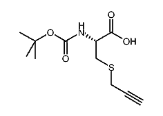
1:757934 C11H17NO4S
hit structure
1:757935 C10H15NO5
hit structure
1:757936 C11H17NO5
hit structure
1:757937 C17H21NO5
hit structure
1:757938 C14H19NO4
hit structure
1:757939 C14H19NO4
hit structure
1:757940 C14H19NO4
hit structure
1:757941 C22H34N2O8
hit structure
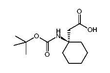
1:757942 C12H21NO4
hit structure
1:757943 C13H23NO4
hit structure
1:757944 C14H25NO4
hit structure
1:757945 C15H27NO4
hit structure
1:757946 C12H21NO5
hit structure

1
  <<    <    >    >>  

entries in data collection: 762950