Home Browse Text SearchFunctional Group SearchStructure SearchPreferences Administration

selected data collection: 1

IRIS SDF: browse content


1
  <<    <    >    >>  

1:757722 C18H23N3O6S
hit structure
1:757723 C17H19N5O8
hit structure
1:757724 C17H24N2O6
hit structure
1:757725 C12H20N2O6
hit structure
1:757726 C12H20N2O6
hit structure
1:757727 C10H17BrN2O5
hit structure
1:757728 C14H18N4O8
hit structure
1:757729 C16H22N2O6
hit structure
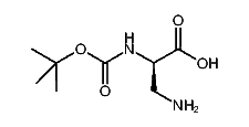
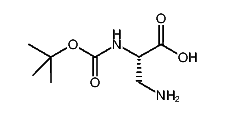
1:757730 C8H16N2O4
hit structure
1:757731 C22H24N2O6
hit structure
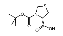
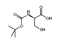
1:757732 C8H15NO4S
hit structure
1:757733 C19H30N2O6
hit structure
1:757734 C12H20N2O6
hit structure
1:757735 C12H20N2O6
hit structure
1:757736 C18H28N2O6
hit structure
1:757737 C14H18N4O8
hit structure
1:757738 C16H22N2O6
hit structure
1:757739 C8H16N2O4
hit structure
1:757740 C23H26N2O6
hit structure
1:757741 C25H30N2O6
hit structure
1:757742 C9H15NO4S
hit structure
1:757743 C17H20N2O4
hit structure
1:757744 C19H30N2O6
hit structure
1:757745 C15H20N4O8
hit structure
1:757746 C18H28N2O6
hit structure

1
  <<    <    >    >>  

entries in data collection: 762950