Home Browse Text SearchFunctional Group SearchStructure SearchPreferences Administration

selected data collection: 1

IRIS SDF: browse content


1
  <<    <    >    >>  

1:754515 C34H44O27R11-
hit structure
1:754516 C5H10O5
hit structure
1:754517 C34H44O27R11-
hit structure
1:754518 C51H63N3O24
hit structure
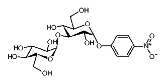
1:754519 C18H25NO13
hit structure
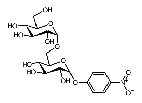
1:754520 C18H25NO13
hit structure
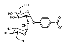
1:754521 C18H25NO13
hit structure
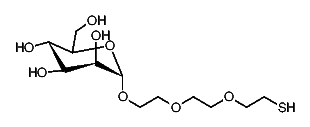
1:754522 C12H24O8S
hit structure
1:754523 C38H39NO14
hit structure
1:754524 C38H39NO14
hit structure
1:754525 C30H33NO12
hit structure
1:754526 C44H51NO22
hit structure
1:754527 C117H166N8O66
hit structure
1:754528 C81H120N6O50
hit structure
1:754529 C69H100N6O40
hit structure
1:754530 C53H74N4O30
hit structure
1:754531 C123H176N8O70
hit structure
1:754532 C87H130N6O54
hit structure
1:754533 C75H110N6O44
hit structure
1:754534 C59H84N4O34
hit structure
1:754535 C99H143N7O58
hit structure
1:754536 C99H143N7O58
hit structure
1:754537 C75H110N6O45
hit structure
1:754538 C75H110N6O45
hit structure
1:754539 C81H120N6O49
hit structure

1
  <<    <    >    >>  

entries in data collection: 757320