Home Browse Text SearchFunctional Group SearchStructure SearchPreferences Administration

selected data collection: 1

IRIS SDF: browse content


1
  <<    <    >    >>  

1:754315 C35H44N2O6
hit structure
1:754316 C25H28N2O5
hit structure
1:754317 C28H28N2O8S
hit structure
1:754318 C29H27N5O3S
hit structure
1:754319 C26H19N3O4S2
hit structure
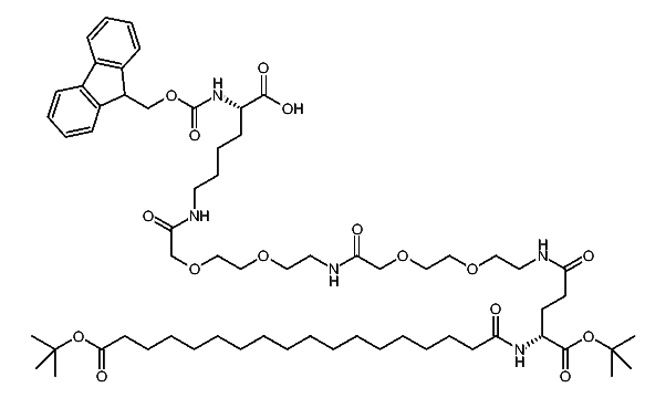
1:754320 C64H101N5O16
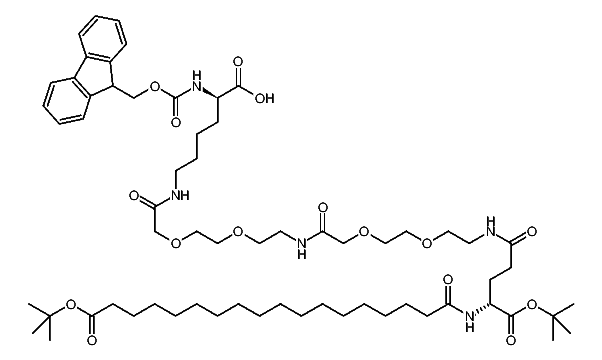
hit structure
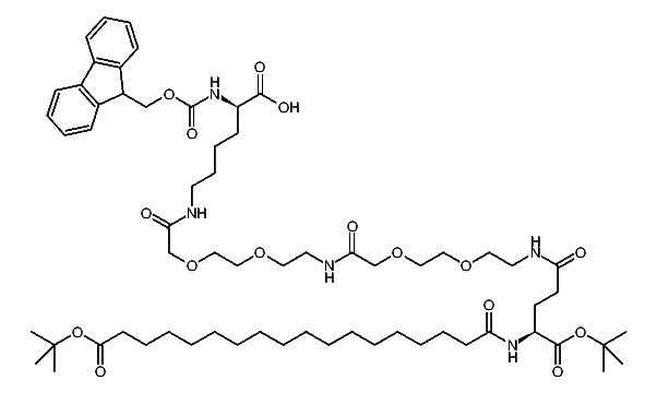
1:754321 C64H101N5O16
hit structure
1:754322 C64H101N5O16
hit structure
1:754323 C22H21NO4S
hit structure
1:754324 C25H28N2O6
hit structure
1:754325 C24H24N2O6
hit structure
1:754326 C28H36N2O6
hit structure
1:754327 C39H34N2O5
hit structure
1:754328 C22H23NO4
hit structure
1:754329 C28H34N2O7
hit structure
1:754330 C29H36N2O7
hit structure
1:754331 C30H38N2O7
hit structure
1:754332 C26H30N2O6
hit structure
1:754333 C23H26N4O4
hit structure
1:754334 C31H31N3O10
hit structure
1:754335 C24H23N3O4
hit structure
1:754336 C24H19N5O7
hit structure
1:754337 C27H25N5O7
hit structure
1:754338 C28H25N3O6
hit structure
1:754339 C32H27N3O6
hit structure

1
  <<    <    >    >>  

entries in data collection: 762950