Home Browse Text SearchFunctional Group SearchStructure SearchPreferences Administration

selected data collection: 1

IRIS SDF: browse content


1
  <<    <    >    >>  

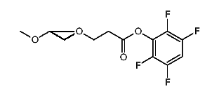
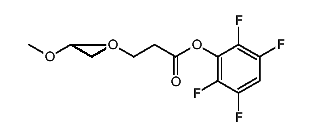
1:750530 C32H52F4O14
hit structure
1:750531 C56H100F4O26
hit structure
1:750532 C58H104F4O27
hit structure
1:750533 C68H114N2O26
hit structure
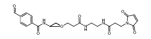
1:750534 C45H68N2O14
hit structure
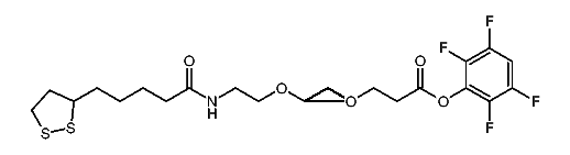
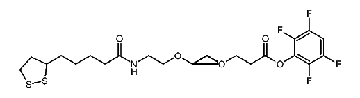
1:750535 C25H35F4NO7S2
hit structure
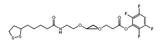
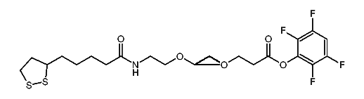
1:750536 C33H51F4NO11S2
hit structure
1:750537 C41H67F4NO15S2
hit structure
1:750538 C65H115F4NO27S2
hit structure
1:750539 C89H163F4NO39S2
hit structure
1:750540 C66H126N4O26S3
hit structure
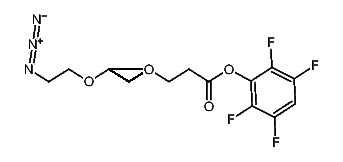
1:750541 C20H20F4N2O7
hit structure
1:750542 C24H28F4N2O9
hit structure
1:750543 C32H44F4N2O13
hit structure
1:750544 C40H60F4N2O17
hit structure
1:750545 C64H108F4N2O29
hit structure
1:750546 C88H156F4N2O41
hit structure
1:750547 C115H209F4N3O54
hit structure
1:750548 C19H24BrF4NO7
hit structure
1:750549 C35H56BrF4NO15
hit structure
1:750550 C59H104BrF4NO27
hit structure
1:750551 C44H70N4O18
hit structure
1:750552 C57H101F4N3O26
hit structure
1:750553 C81H149F4N3O38
hit structure
1:750554 C140H246N12O64
hit structure

1
  <<    <    >    >>  

entries in data collection: 751690