Home Browse Text SearchFunctional Group SearchStructure SearchPreferences Administration

selected data collection: 1

IRIS SDF: browse content


1
  <<    <    >    >>  

1:750506 C103H205NO52
hit structure
1:750507 C78H151BrN6O31
hit structure
1:750508 C117H214N2O53
hit structure
1:750509 C110H210N2O53
hit structure
1:750510 C102H204N2O51
hit structure
1:750511 C28H54Br2N2O13
hit structure
1:750512 C193H296N12O60
hit structure
1:750513 C64H82N4O15
hit structure
1:750514 C93H184NO34P
hit structure
1:750515 C163H299N4O60P
hit structure
1:750516 C159H310N7O65P
hit structure
1:750517 C165H298N3O64P
hit structure
1:750518 C164H319N6O65PS
hit structure
1:750519 C201H390N5O86P
hit structure
1:750520 C237H460N12O112
hit structure
1:750521 C141H256N12O64
hit structure
1:750522 C10H19BrN4O4
hit structure
1:750523 C26H51BrN4O12
hit structure
1:750524 C50H99BrN4O24
hit structure
1:750525 C10H24N4O5S
hit structure
1:750526 C17H22F4O7
hit structure
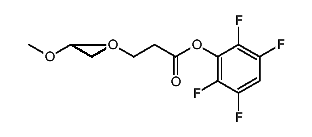
1:750527 C33H54F4O15
hit structure
1:750528 C57H102F4O27
hit structure
1:750529 C94H149N5O39
hit structure
1:750530 C32H52F4O14
hit structure

1
  <<    <    >    >>  

entries in data collection: 751690