Home Browse Text SearchFunctional Group SearchStructure SearchPreferences Administration

selected data collection: 1

IRIS SDF: browse content


1
  <<    <    >    >>  

1:750454 C32H34N2O5S
hit structure
1:750455 C32H34N2O5S
hit structure
1:750456 C32H34N2O5S
hit structure
1:750457 C25H45N3O10S
hit structure
1:750458 C30H36O6S
hit structure
1:750459 C12H25N3O6
hit structure
1:750460 C27H32O4S
hit structure
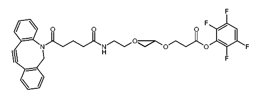
1:750461 C37H38F4N2O8
hit structure
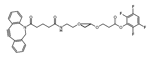
1:750462 C53H70F4N2O16
hit structure
1:750463 C77H118F4N2O28
hit structure
1:750464 C101H166F4N2O40
hit structure
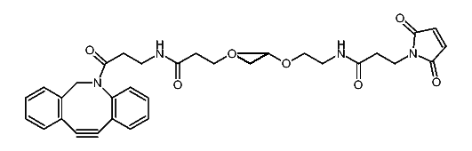
1:750465 C52H74N4O17
hit structure
1:750466 C76H122N4O29
hit structure
1:750467 C31H38BrN3O7
hit structure
1:750468 C25H37N7O6S
hit structure
1:750469 C47H70BrN3O15
hit structure
1:750470 C23H38N4O6S
hit structure
1:750471 C71H118BrN3O27
hit structure
1:750472 C11H17NO5
hit structure
1:750473 C55H83N5O16S
hit structure
1:750474 C33H45N3O12
hit structure
1:750475 C66H79N3O20
hit structure
1:750476 C13H28N2O5
hit structure
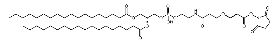
1:750477 C75H141N2O26P
hit structure
1:750478 C45H73F4N5O13
hit structure

1
  <<    <    >    >>  

entries in data collection: 751690