Home Browse Text SearchFunctional Group SearchStructure SearchPreferences Administration

selected data collection: 1

IRIS SDF: browse content


1
  <<    <    >    >>  

1:746802 C10H17NO4
hit structure
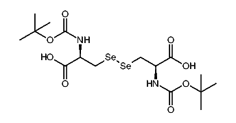
1:746803 C16H28N2O8Se2
hit structure
1:746804 C25H28N2O6
hit structure
1:746805 C13H25NO4
hit structure
1:746806 C11H21NO5
hit structure
1:746807 C12H17NO5
hit structure
1:746808 C12H17NO5
hit structure
1:746809 C13H23NO4
hit structure
1:746810 C16H23NO5Se
hit structure
1:746811 C16H20F3NO4
hit structure
1:746812 C13H25NO4
hit structure
1:746813 C18H35NO4
hit structure
1:746814 C21H41NO4
hit structure
1:746815 C23H45NO4
hit structure
1:746816 C18H34N2O5
hit structure
1:746817 C18H24N2O6
hit structure
1:746818 C18H22N2O6
hit structure
1:746819 C17H25NO5
hit structure
1:746820 C17H25NO5
hit structure
1:746821 C16H21NO6
hit structure
1:746822 C15H18F3NO5
hit structure
1:746823 C15H18F3NO4
hit structure
1:746824 C17H25NO4
hit structure
1:746825 C14H17Cl2NO4
hit structure
1:746826 C15H21NO5
hit structure

1
  <<    <    >    >>  

entries in data collection: 751690