Home Browse Text SearchFunctional Group SearchStructure SearchPreferences Administration

selected data collection: 1

IRIS SDF: browse content


1
  <<    <    >    >>  

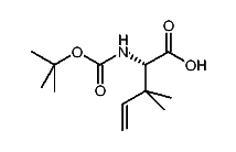
1:746752 C13H17NO4
hit structure
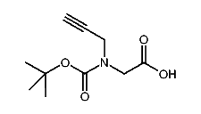
1:746753 C13H17NO4
hit structure
1:746754 C8H15NO5
hit structure
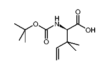
1:746755 C10H17NO4
hit structure
1:746756 C10H15NO4
hit structure
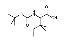
1:746757 C10H17NO4
hit structure
1:746758 C10H17NO4
hit structure
1:746759 C17H27NO4
hit structure
1:746760 C28H38N2O10
hit structure
1:746761 C28H38N2O10
hit structure
1:746762 C30H42N2O8
hit structure
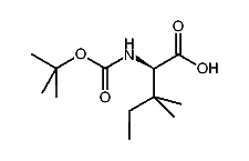
1:746763 C12H23NO4
hit structure
1:746764 C12H23NO4
hit structure
1:746765 C12H21NO4
hit structure
1:746766 C12H21NO4
hit structure
1:746767 C12H21NO4
hit structure
1:746768 C15H26N2O4
hit structure
1:746769 C13H23NO4
hit structure
1:746770 C14H25NO4
hit structure
1:746771 C11H19NO5
hit structure
1:746772 C9H15NO6
hit structure
1:746773 C14H23NO4
hit structure
1:746774 C9H14F3NO4
hit structure
1:746775 C11H19NO6
hit structure
1:746776 C19H37NO4
hit structure

1
  <<    <    >    >>  

entries in data collection: 751690