Home Browse Text SearchFunctional Group SearchStructure SearchPreferences Administration

selected data collection: 1

IRIS SDF: browse content


1
  <<    <    >    >>  

1:746203 C29H35N9O9
hit structure
1:746204 C22H29N5O5
hit structure
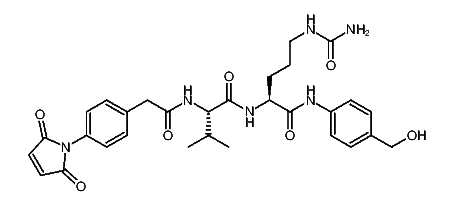
1:746205 C29H32N6O9
hit structure
1:746206 C37H40N6O6
hit structure
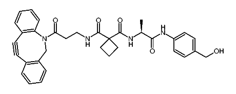
1:746207 C44H43N7O10
hit structure
1:746208 C25H32N4O6
hit structure
1:746209 C32H35N5O10
hit structure
1:746210 C19H26N6O4
hit structure
1:746211 C26H29N7O8
hit structure
1:746212 C19H23N3O4
hit structure
1:746213 C26H26N4O8
hit structure
1:746214 C34H34N4O5
hit structure
1:746215 C41H37N5O9
hit structure
1:746216 C20H30ClN3O4
hit structure
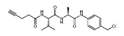
1:746217 C30H32ClN3O4
hit structure
1:746218 C21H31ClN6O3
hit structure
1:746219 C20H26ClN3O3
hit structure
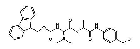
1:746220 C25H33ClN4O5
hit structure
1:746221 C20H29ClN6O4
hit structure
1:746222 C23H32ClN3O5
hit structure
1:746223 C27H30N4O6
hit structure
1:746224 C34H33N5O10
hit structure
1:746225 C30H36N6O7
hit structure
1:746226 C37H39N7O11
hit structure
1:746227 C32H39N5O8
hit structure

1
  <<    <    >    >>  

entries in data collection: 751690