Home Browse Text SearchFunctional Group SearchStructure SearchPreferences Administration

selected data collection: 1

IRIS SDF: browse content


1
  <<    <    >    >>  

1:745483 C22H34N4O5S
hit structure
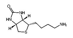
1:745484 C9H17N3OS
hit structure
1:745485 C20H17Cl
hit structure
1:745486 C6H7ClIN
hit structure
1:745487 C8H9NO2
hit structure
1:745488 C22H20O2S
hit structure
1:745489 C16H15F5N2O3S
hit structure
1:745490 C17H24N6O5
hit structure
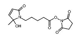
1:745491 C18H23N3O5
hit structure
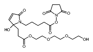
1:745492 C27H40N6O7S
hit structure
1:745493 C36H39N5O7
hit structure
1:745494 C15H27N5O3S2
hit structure
1:745495 C9H6N4O3
hit structure
1:745496 C13H16N4O4
hit structure
1:745497 C6H7NO5
hit structure
1:745498 C10H11NO2S
hit structure
1:745499 C8H9NO2
hit structure
1:745500 C10H15NO4
hit structure
1:745501 C14H18N2O6
hit structure
1:745502 C12H19NO6
hit structure
1:745503 C16H22N2O8
hit structure
1:745504 C22H32N2O11
hit structure
1:745505 C17H25N3O5
hit structure
1:745506 C11H16N2O4
hit structure
1:745507 C19H21N3O10
hit structure

1
  <<    <    >    >>  

entries in data collection: 746060