Home Browse Text SearchFunctional Group SearchStructure SearchPreferences Administration

selected data collection: 1

IRIS SDF: browse content


1
  <<    <    >    >>  

1:745358 C18H35N3O2
hit structure
1:745359 C29H33NO5
hit structure
1:745360 C30H35NO7
hit structure
1:745361 C13H19N3O3
hit structure
1:745362 C11H15N5O4
hit structure
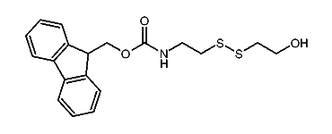
1:745363 C15H25N3O4S3
hit structure
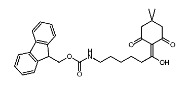
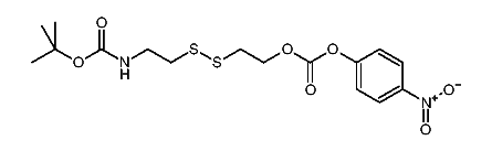
1:745364 C23H26N2O5S2
hit structure
1:745365 C10H18N4O3S2
hit structure
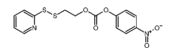
1:745366 C10H15NO3S2
hit structure
1:745367 C53H59N3O5S
hit structure
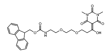
1:745368 C53H60N4O4S
hit structure
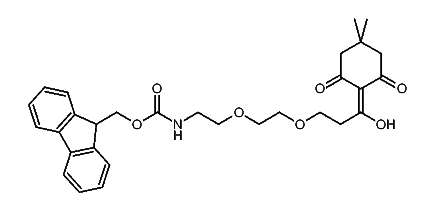
1:745369 C19H22N2O2S2
hit structure
1:745370 C14H26N4O2S3
hit structure
1:745371 C9H12N2O4
hit structure
1:745372 C7H8N2O2
hit structure
1:745373 C17H21N3O8
hit structure
1:745374 C10H12N2O6
hit structure
1:745375 C15H21NO4
hit structure
1:745376 C28H31N3O8
hit structure
1:745377 C12H18N4O4
hit structure
1:745378 C13H19N3O2S
hit structure
1:745379 C14H12N2O5S2
hit structure
1:745380 C9H19NO3S2
hit structure
1:745381 C16H22N2O7S2
hit structure
1:745382 C19H21NO3S2
hit structure

1
  <<    <    >    >>  

entries in data collection: 746060