Home Browse Text SearchFunctional Group SearchStructure SearchPreferences Administration

selected data collection: 1

IRIS SDF: browse content


1
  <<    <    >    >>  

1:744349 C11H23NO4S
hit structure
1:744350 C11H23NO4S
hit structure
1:744351 C27H30N2O8
hit structure
1:744352 C27H30N2O8
hit structure
1:744353 C27H30N2O8
hit structure
1:744354 C20H40O10S
hit structure
1:744355 C19H38O10S
hit structure
1:744356 C6H14O2S2
hit structure
1:744357 C6H14O2S2
hit structure
1:744358 C6H14O2S2
hit structure
1:744359 C6H14O2S2
hit structure
1:744360 C6H14O2S2
hit structure
1:744361 C14H16N2O6
hit structure
1:744362 C14H16N2O6
hit structure
1:744363 C14H16N2O6
hit structure
1:744364 C14H16N2O6
hit structure
1:744365 C34H38N2O7S
hit structure
1:744366 C34H38N2O7S
hit structure
1:744367 C24H47NO5
hit structure
1:744368 C16H36N2O7
hit structure
1:744369 C70H127N3O35
hit structure
1:744370 C74H129NO32
hit structure
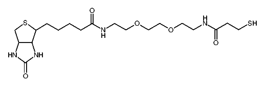
1:744371 C19H34N4O5S2
hit structure
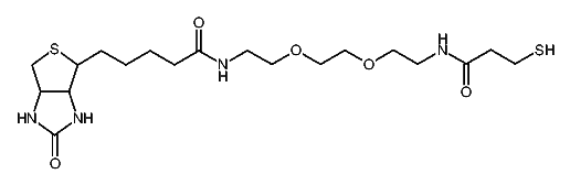
1:744372 C19H34N4O5S2
hit structure
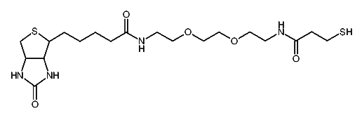
1:744373 C19H34N4O5S2
hit structure

1
  <<    <    >    >>  

entries in data collection: 746060