Home Browse Text SearchFunctional Group SearchStructure SearchPreferences Administration

selected data collection: 1

IRIS SDF: browse content


1
  <<    <    >    >>  

1:744274 C26H30N2O2S
hit structure
1:744275 C26H30N2O2S
hit structure
1:744276 C13H25N3O6
hit structure
1:744277 C13H25N3O6
hit structure
1:744278 C13H25N3O6
hit structure
1:744279 C5H12O3
hit structure
1:744280 C5H12O3
hit structure
1:744281 C5H12O3
hit structure
1:744282 C5H12O3
hit structure
1:744283 C5H12O3
hit structure
1:744284 C23H48O12
hit structure
1:744285 C30H58N4O11S
hit structure
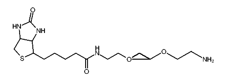
1:744286 C16H30N4O4S
hit structure
1:744287 C16H30N4O4S
hit structure
1:744288 C16H30N4O4S
hit structure
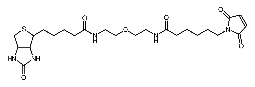
1:744289 C24H37N5O6S
hit structure
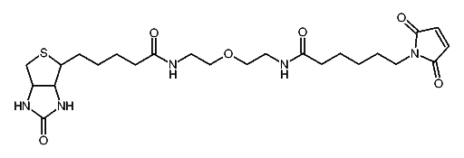
1:744290 C24H37N5O6S
hit structure
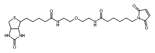
1:744291 C24H37N5O6S
hit structure
1:744292 C37H69N3O16S
hit structure
1:744293 C18H31N3O6S
hit structure
1:744294 C18H31N3O6S
hit structure
1:744295 C18H31N3O6S
hit structure
1:744296 C22H34N4O8S
hit structure
1:744297 C22H34N4O8S
hit structure
1:744298 C22H34N4O8S
hit structure

1
  <<    <    >    >>  

entries in data collection: 746060