Home Browse Text SearchFunctional Group SearchStructure SearchPreferences Administration

selected data collection: 1

IRIS SDF: browse content


1
  <<    <    >    >>  

1:741645 C34H42N2O6
hit structure
1:741646 C32H38N2O6
hit structure
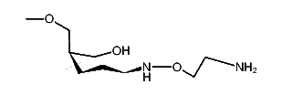
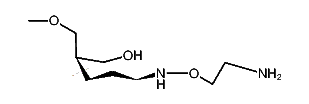
1:741647 C11H28N2O3
hit structure
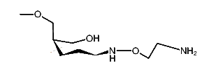
1:741648 C11H28N2O3
hit structure
1:741649 C11H28N2O3
hit structure
1:741650 C11H28N2O3
hit structure
1:741651 C11H28N2O3
hit structure
1:741652 C11H28N2O3
hit structure
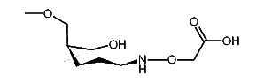
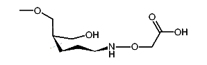
1:741653 C11H25NO5
hit structure
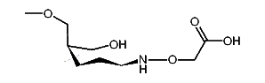
1:741654 C11H25NO5
hit structure
1:741655 C11H25NO5
hit structure
1:741656 C11H25NO5
hit structure
1:741657 C11H25NO5
hit structure
1:741658 C11H25NO5
hit structure
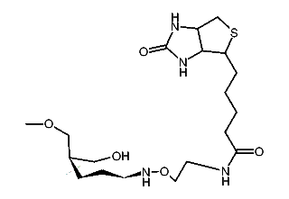
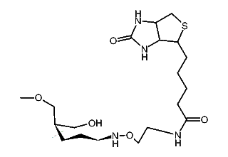
1:741659 C21H42N4O5S
hit structure
1:741660 C21H42N4O5S
hit structure
1:741661 C21H42N4O5S
hit structure
1:741662 C21H42N4O5S
hit structure
1:741663 C21H42N4O5S
hit structure
1:741664 C12H29NO3S
hit structure
1:741665 C25H23N3O2
hit structure
1:741666 C47H51FN7O7P
hit structure
1:741667 C41H49FN5O8P
hit structure
1:741668 C44H53FN7O8P
hit structure
1:741669 C48H54N7O8P
hit structure

1
  <<    <    >    >>  

entries in data collection: 746060