Home Browse Text SearchFunctional Group SearchStructure SearchPreferences Administration

selected data collection: 1

IRIS SDF: browse content


1
  <<    <    >    >>  

1:736255 C27H25NO5
hit structure
1:736256 C28H29NO5
hit structure
1:736257 C20H21NO4
hit structure
1:736258 C19H19NO4
hit structure
1:736259 C21H21NO4
hit structure
1:736260 C19H19NO4
hit structure
1:736261 C28H23NO4
hit structure
1:736262 C26H25NO5
hit structure
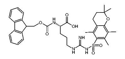
1:736263 C35H42N4O7S
hit structure
1:736264 C22H21NO6
hit structure
1:736265 C22H21NO6
hit structure
1:736266 C23H25NO6
hit structure
1:736267 C24H27NO4
hit structure
1:736268 C21H23N3O5
hit structure
1:736269 C23H25NO4
hit structure
1:736270 C22H23NO4
hit structure
1:736271 C18H17NO4S
hit structure
1:736272 C23H24N2O6
hit structure
1:736273 C24H28N2O6
hit structure
1:736274 C29H32N2O6
hit structure
1:736275 C22H22N2O6
hit structure
1:736276 C23H26N2O6
hit structure
1:736277 C29H35NO8
hit structure
1:736278 C20H20N2O5
hit structure
1:736279 C23H23NO6
hit structure

1
  <<    <    >    >>  

entries in data collection: 740430