Home Browse Text SearchFunctional Group SearchStructure SearchPreferences Administration

selected data collection: 1

IRIS SDF: browse content


1
  <<    <    >    >>  

1:734481 C40H42N2O7
hit structure
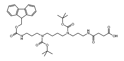
1:734482 C89H91N7O14
hit structure
1:734483 C96H98N8O15
hit structure
1:734484 C25H50N4O6
hit structure
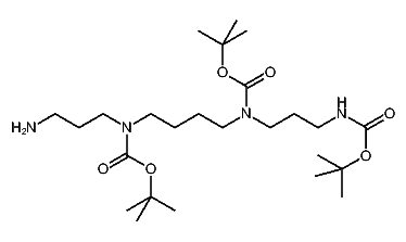
1:734485 C20H42N4O4
hit structure
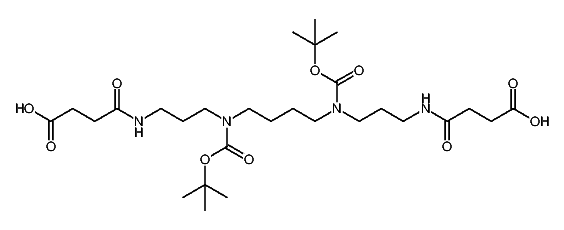
1:734486 C39H56N4O9
hit structure
1:734487 C10H24N6
hit structure
1:734488 C31H58N4O10
hit structure
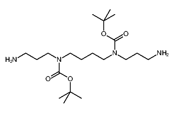
1:734489 C20H42N4O4
hit structure
1:734490 C10H22N8
hit structure
1:734491 C29H54N4O9
hit structure
1:734492 C25H48N6O6
hit structure
1:734493 C28H50N4O10
hit structure
1:734494 CH2Cl2
hit structure
1:734495 C3H7NO
hit structure
1:734496 C4H10O
hit structure
1:734497 C3H2F6O
hit structure
1:734498 C5H9NO
hit structure
1:734499 C5H11N
hit structure
1:734500 C2HF3O2
hit structure
1:734501 C2H3F3O
hit structure
1:734502 C5H9NO
hit structure
1:734503 C6H14O3S
hit structure
1:734504 C19H17P
hit structure
1:734505 C7H7ClO2S
hit structure

1
  <<    <    >    >>  

entries in data collection: 734800