Home Browse Text SearchFunctional Group SearchStructure SearchPreferences Administration

selected data collection: 1

IRIS SDF: browse content


1
  <<    <    >    >>  

1:734255 C35H29N3O7S2
hit structure
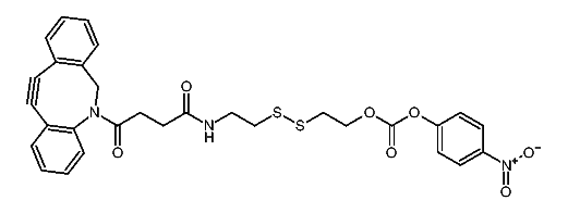
1:734256 C30H27N3O7S2
hit structure
1:734257 C30H57N3O13
hit structure
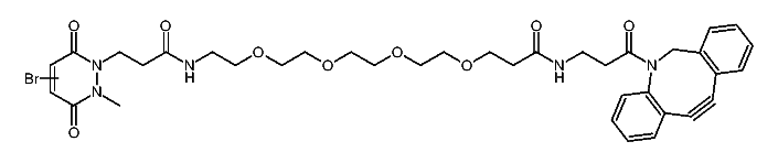
1:734258 C50H61N3O13
hit structure
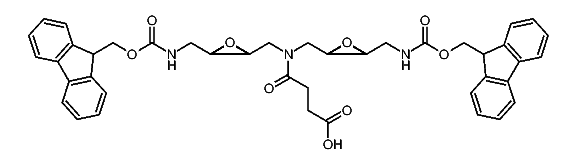
1:734259 C13H26N2O5
hit structure
1:734260 C28H31NO5S
hit structure
1:734261 C13H8O3
hit structure
1:734262 C8H5N3S
hit structure
1:734263 C6H3Br2NO4
hit structure
1:734264 C8H8Br2N2O4
hit structure
1:734265 C37H43Br2N5O9
hit structure
1:734266 C6H4BrNO4
hit structure
1:734267 C35H39BrN4O9
hit structure
1:734268 C9H13BrN2O4
hit structure
1:734269 C38H48BrN5O9
hit structure
1:734270 C32H36N2O8
hit structure
1:734271 C23H20N2O2
hit structure
1:734272 C30H34N2O6
hit structure
1:734273 C16H15N3O
hit structure
1:734274 C21H25N3O5
hit structure
1:734275 C19H21N5O2S
hit structure
1:734276 C30H42N6O7S
hit structure
1:734277 C7H5N3O3
hit structure
1:734278 C7H8N2O5
hit structure
1:734279 C11H15NO4
hit structure

1
  <<    <    >    >>  

entries in data collection: 734800