Home Browse Text SearchFunctional Group SearchStructure SearchPreferences Administration

selected data collection: 1

IRIS SDF: browse content


1
  <<    <    >    >>  

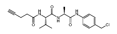
1:729327 C30H32ClN3O4
hit structure
1:729328 C21H31ClN6O3
hit structure
1:729329 C20H26ClN3O3
hit structure
1:729330 C25H33ClN4O5
hit structure
1:729331 C20H29ClN6O4
hit structure
1:729332 C23H32ClN3O5
hit structure
1:729333 C27H30N4O6
hit structure
1:729334 C34H33N5O10
hit structure
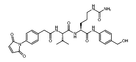
1:729335 C30H36N6O7
hit structure
1:729336 C37H39N7O11
hit structure
1:729337 C32H39N5O8
hit structure
1:729338 C39H42N6O12
hit structure
1:729339 C13H14O5
hit structure
1:729340 C20H17NO9
hit structure
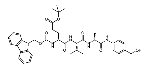
1:729341 C42H54N6O9
hit structure
1:729342 C49H57N7O13
hit structure
1:729343 C39H48N4O8
hit structure
1:729344 C46H51N5O12
hit structure
1:729345 C19H27N3O5
hit structure
1:729346 C22H33N5O6
hit structure
1:729347 C12H14N2O
hit structure
1:729348 C9H18N2O2
hit structure
1:729349 C15H14N2O2
hit structure
1:729350 C11H26N2O4
hit structure
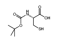
1:729351 C8H15NO4S
hit structure

1
  <<    <    >    >>  

entries in data collection: 734800