Home Browse Text SearchFunctional Group SearchStructure SearchPreferences Administration

selected data collection: 1

IRIS SDF: browse content


1
  <<    <    >    >>  

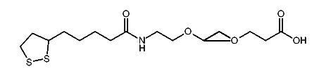
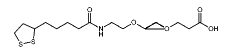
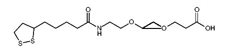
1:727772 C19H35NO7S2
hit structure
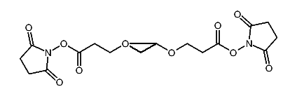
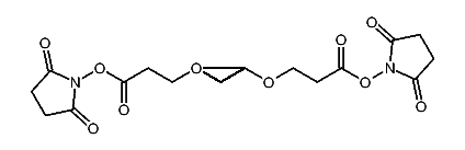
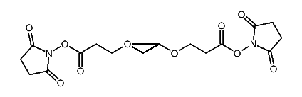
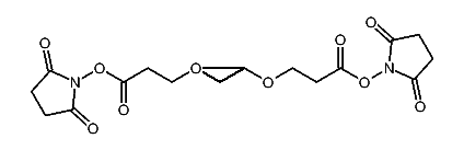
1:727773 C27H51NO11S2
hit structure
1:727774 C59H115NO27S2
hit structure
1:727775 C25H41N3O7S2
hit structure
1:727776 C39H69N3O15S2
hit structure
1:727777 C28H50N4O6S3
hit structure
1:727778 C42H78N4O14S3
hit structure
1:727779 C17H33NO5S2
hit structure
1:727780 C25H49NO9S2
hit structure
1:727781 C33H65NO13S2
hit structure
1:727782 C57H113NO25S2
hit structure
1:727783 C33H59NO17S
hit structure
1:727784 C79H159NO38
hit structure
1:727785 C48H99NO24
hit structure
1:727786 C72H147NO36
hit structure
1:727787 C8H17N3O4
hit structure
1:727788 C48H97N3O24
hit structure
1:727789 C72H145N3O36
hit structure
1:727790 C26H52O13S
hit structure
1:727791 C22H36N2O11
hit structure
1:727792 C87H161N3O41S2
hit structure
1:727793 C26H40N2O15
hit structure
1:727794 C38H64N2O21
hit structure
1:727795 C46H80N2O25
hit structure
1:727796 C54H96N2O29
hit structure

1
  <<    <    >    >>  

entries in data collection: 734800