Home Browse Text SearchFunctional Group SearchStructure SearchPreferences Administration

selected data collection: 1

IRIS SDF: browse content


1
  <<    <    >    >>  

1:727672 C31H49N3O13S2
hit structure
1:727673 C39H65N3O17S2
hit structure
1:727674 C63H113N3O29S2
hit structure
1:727675 C33H57N3O18
hit structure
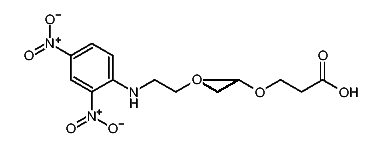
1:727676 C37H60N4O20
hit structure
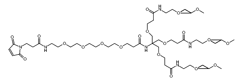
1:727677 C58H106N6O26
hit structure
1:727678 C11H21N3O6
hit structure
1:727679 C16H34N4O7
hit structure
1:727680 C19H38O9
hit structure
1:727681 C31H62O15
hit structure
1:727682 C55H110O27
hit structure
1:727683 C16H26N2O7
hit structure
1:727684 C24H42N2O11
hit structure
1:727685 C24H47NO12
hit structure
1:727686 C32H63NO16
hit structure
1:727687 C6H13NO4
hit structure
1:727688 C10H21NO4
hit structure
1:727689 C18H36O9S
hit structure
1:727690 C16H27N3O6S
hit structure
1:727691 C22H38N4O9S
hit structure
1:727692 C3H5N
hit structure
1:727693 C16H30N4O4S
hit structure
1:727694 C18H35N3O10
hit structure
1:727695 C6H11N3O4
hit structure
1:727696 C12H22N4O7
hit structure

1
  <<    <    >    >>  

entries in data collection: 734800