Home Browse Text SearchFunctional Group SearchStructure SearchPreferences Administration

selected data collection: 1

IRIS SDF: browse content


1
  <<    <    >    >>  

1:724912 C41H35N3O4
hit structure
1:724913 C40H33N3O4
hit structure
1:724914 C40H33N3O4
hit structure
1:724915 C20H21NO5
hit structure
1:724916 C20H21NO5
hit structure
1:724917 C38H33NO5
hit structure
1:724918 C38H33NO5
hit structure
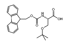
1:724919 C21H23NO4
hit structure
1:724920 C21H23NO4
hit structure
1:724921 C21H23NO4
hit structure
1:724922 C26H32N2O6
hit structure
1:724923 C41H40N2O4
hit structure
1:724924 C41H40N2O4
hit structure
1:724925 C40H38N2O4
hit structure
1:724926 C20H21NO4S
hit structure
1:724927 C20H21NO4S
hit structure
1:724928 C25H30N2O6
hit structure
1:724929 C40H38N2O4
hit structure
1:724930 C40H38N2O4
hit structure
1:724931 C24H21NO4
hit structure
1:724932 C24H21NO4
hit structure
1:724933 C20H19NO4
hit structure
1:724934 C20H19NO4
hit structure
1:724935 C22H25NO5
hit structure
1:724936 C19H19NO5
hit structure

1
  <<    <    >    >>  

entries in data collection: 740430