Home Browse Text SearchFunctional Group SearchStructure SearchPreferences Administration

selected data collection: 1

IRIS SDF: browse content


1
  <<    <    >    >>  

1:724862 C27H33NO6
hit structure
1:724863 C27H24N2O4
hit structure
1:724864 C21H19NO5
hit structure
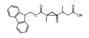
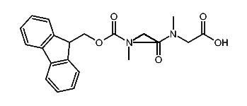
1:724865 C25H28N2O5
hit structure
1:724866 C35H33N3O6
hit structure
1:724867 C37H35N3O7
hit structure
1:724868 C25H20F3NO4
hit structure
1:724869 C25H20F3NO4
hit structure
1:724870 C26H21FN2O4
hit structure
1:724871 C22H25NO4
hit structure
1:724872 C32H25NO4
hit structure
1:724873 C24H18F3NO4
hit structure
1:724874 C26H21ClN2O4
hit structure
1:724875 C22H24N2O5
hit structure
1:724876 C44H37NO4S
hit structure
1:724877 C25H24N2O6S
hit structure
1:724878 C34H30F3NO7S
hit structure
1:724879 C39H42N4O7S
hit structure
1:724880 C23H27NO5
hit structure
1:724881 C30H32BNO6
hit structure
1:724882 C34H39BN2O7
hit structure
1:724883 C28H28N2O6
hit structure
1:724884 C45H62N10O13
hit structure
1:724885 C51H72N12O15
hit structure
1:724886 C29H32N2O6
hit structure

1
  <<    <    >    >>  

entries in data collection: 740430