Home Browse Text SearchFunctional Group SearchStructure SearchPreferences Administration

selected data collection: 1

IRIS SDF: browse content


1
  <<    <    >    >>  

1:724762 C11H28N2O3
hit structure
1:724763 C11H25NO5
hit structure
1:724764 C11H25NO5
hit structure
1:724765 C11H25NO5
hit structure
1:724766 C11H25NO5
hit structure
1:724767 C11H25NO5
hit structure
1:724768 C11H25NO5
hit structure
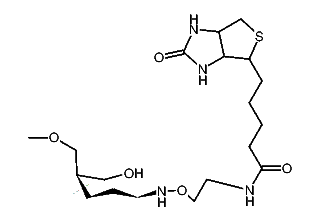
1:724769 C21H42N4O5S
hit structure
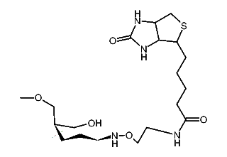
1:724770 C21H42N4O5S
hit structure
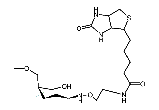
1:724771 C21H42N4O5S
hit structure
1:724772 C21H42N4O5S
hit structure
1:724773 C21H42N4O5S
hit structure
1:724774 C12H29NO3S
hit structure
1:724775 C25H23N3O2
hit structure
1:724776 C47H51FN7O7P
hit structure
1:724777 C41H49FN5O8P
hit structure
1:724778 C44H53FN7O8P
hit structure
1:724779 C48H54N7O8P
hit structure
1:724780 C47H54N5O9P
hit structure
1:724781 C45H56N7O9P
hit structure
1:724782 C40H49N4O9P
hit structure
1:724783 C40H49N4O8P
hit structure
1:724784 C50H58N7O9P
hit structure
1:724785 C47H60N7O10P
hit structure
1:724786 C50H60N5O10P
hit structure

1
  <<    <    >    >>  

entries in data collection: 740430