Home Browse Text SearchFunctional Group SearchStructure SearchPreferences Administration

selected data collection: 1

IRIS SDF: browse content


1
  <<    <    >    >>  

1:724746 C28H30N2O6
hit structure
1:724747 C20H30N2O6
hit structure
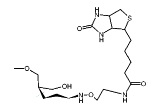
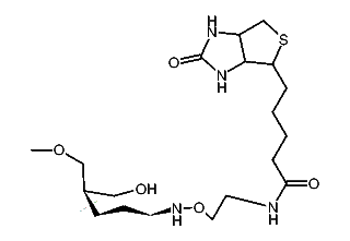
1:724748 C21H34N2O6
hit structure
1:724749 C31H36N2O6
hit structure
1:724750 C16H25NO6
hit structure
1:724751 C31H36N2O6
hit structure
1:724752 C31H36N2O6
hit structure
1:724753 C34H42N2O6
hit structure
1:724754 C15H23NO4S
hit structure
1:724755 C34H42N2O6
hit structure
1:724756 C32H38N2O6
hit structure
1:724757 C11H28N2O3
hit structure
1:724758 C11H28N2O3
hit structure
1:724759 C11H28N2O3
hit structure
1:724760 C11H28N2O3
hit structure
1:724761 C11H28N2O3
hit structure
1:724762 C11H28N2O3
hit structure
1:724763 C11H25NO5
hit structure
1:724764 C11H25NO5
hit structure
1:724765 C11H25NO5
hit structure
1:724766 C11H25NO5
hit structure
1:724767 C11H25NO5
hit structure
1:724768 C11H25NO5
hit structure
1:724769 C21H42N4O5S
hit structure
1:724770 C21H42N4O5S
hit structure

1
  <<    <    >    >>  

entries in data collection: 740430