Home Browse Text SearchFunctional Group SearchStructure SearchPreferences Administration

selected data collection: 1

IRIS SDF: browse content


1
  <<    <    >    >>  

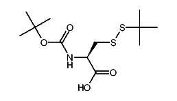
1:724444 C11H21NO4S
hit structure
1:724445 C15H21NO4
hit structure
1:724446 C11H19NO4
hit structure
1:724447 C17H25NO5
hit structure
1:724448 C17H22N2O4
hit structure
1:724449 C22H27NO5
hit structure
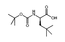
1:724450 C11H21NO4
hit structure
1:724451 C12H23NO4
hit structure
1:724452 C12H23NO4
hit structure
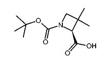
1:724453 C12H21NO4
hit structure
1:724454 C12H21NO4
hit structure
1:724455 C13H24N2O6
hit structure
1:724456 C17H24N2O5S
hit structure
1:724457 C9H14N2O4
hit structure
1:724458 C25H40N4O7S
hit structure
1:724459 C23H31N3O6
hit structure
1:724460 C12H23NO4S2
hit structure
1:724461 C11H21N3O5
hit structure
1:724462 C27H34N4O8
hit structure
1:724463 C13H24N2O5
hit structure
1:724464 C12H21NO4
hit structure
1:724465 C12H23NO4S
hit structure
1:724466 C11H19NO4
hit structure
1:724467 C25H30N2O6S
hit structure
1:724468 C20H32N4O6S
hit structure

1
  <<    <    >    >>  

entries in data collection: 734800