Home Browse Text SearchFunctional Group SearchStructure SearchPreferences Administration

selected data collection: 1

IRIS SDF: browse content


1
  <<    <    >    >>  

1:724294 C21H41NO4
hit structure
1:724295 C23H45NO4
hit structure
1:724296 C18H34N2O5
hit structure
1:724297 C18H24N2O6
hit structure
1:724298 C18H22N2O6
hit structure
1:724299 C17H25NO5
hit structure
1:724300 C17H25NO5
hit structure
1:724301 C16H21NO6
hit structure
1:724302 C15H18F3NO5
hit structure
1:724303 C15H18F3NO4
hit structure
1:724304 C17H25NO4
hit structure
1:724305 C14H17Cl2NO4
hit structure
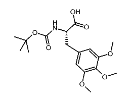
1:724306 C15H21NO5
hit structure
1:724307 C21H25NO5
hit structure
1:724308 C15H21NO5
hit structure
1:724309 C20H23NO5
hit structure
1:724310 C15H18F3NO5
hit structure
1:724311 C15H18F3NO4
hit structure
1:724312 C16H17F6NO4
hit structure
1:724313 C14H17Cl2NO4
hit structure
1:724314 C17H25NO7
hit structure
1:724315 C16H23NO4
hit structure
1:724316 C16H23NO5
hit structure
1:724317 C18H28N2O4
hit structure
1:724318 C15H18F3NO5
hit structure

1
  <<    <    >    >>  

entries in data collection: 734800