Home Browse Text SearchFunctional Group SearchStructure SearchPreferences Administration

selected data collection: 1

IRIS SDF: browse content


1
  <<    <    >    >>  

1:723207 C26H27NO5
hit structure
1:723208 C49H45N3O5
hit structure
1:723209 C30H35NO5
hit structure
1:723210 C30H35NO5
hit structure
1:723211 C35H44N2O7
hit structure
1:723212 C29H33NO5S
hit structure
1:723213 C30H35NO5
hit structure
1:723214 C34H42N2O7
hit structure
1:723215 C33H33NO5
hit structure
1:723216 C29H31NO5
hit structure
1:723217 C31H37NO6
hit structure
1:723218 C32H39NO6
hit structure
1:723219 C37H41NO6
hit structure
1:723220 C29H33NO5
hit structure
1:723221 C40H42N2O7
hit structure
1:723222 C89H91N7O14
hit structure
1:723223 C96H98N8O15
hit structure
1:723224 C25H50N4O6
hit structure
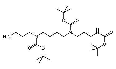
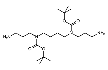
1:723225 C20H42N4O4
hit structure
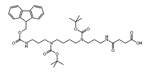
1:723226 C39H56N4O9
hit structure
1:723227 C10H24N6
hit structure
1:723228 C31H58N4O10
hit structure
1:723229 C20H42N4O4
hit structure
1:723230 C10H22N8
hit structure
1:723231 C29H54N4O9
hit structure

1
  <<    <    >    >>  

entries in data collection: 723540