Home Browse Text SearchFunctional Group SearchStructure SearchPreferences Administration

selected data collection: 1

IRIS SDF: browse content


1
  <<    <    >    >>  

1:721621 C12H21N3O2S2
hit structure
1:721622 C23H42N4O6S2
hit structure
1:721623 C28H30N4O3S
hit structure
1:721624 C20H25N7O2S
hit structure
1:721625 C31H46N8O7S
hit structure
1:721626 C10H17N5OS
hit structure
1:721627 C12H18N2OS
hit structure
1:721628 C10H17N3O2S
hit structure
1:721629 C27H46O
hit structure
1:721630 C23H30N4O2S
hit structure
1:721631 C15H26N6O2S
hit structure
1:721632 C22H31N5O6S2
hit structure
1:721633 C30H43N3O9S
hit structure
1:721634 C10H16N2O6S
hit structure
1:721635 C25H38N8O6S
hit structure
1:721636 C15H23N5O4
hit structure
1:721637 C22H34N4O7S
hit structure
1:721638 C19H16NOP
hit structure
1:721639 C22H30N8O6
hit structure
1:721640 C17H18N4O4
hit structure
1:721641 C17H18N4O4
hit structure
1:721642 C44H87NO5
hit structure
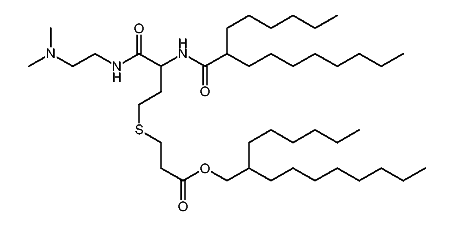
1:721643 C43H85N3O4S
hit structure
1:721644 C48H95NO5
hit structure
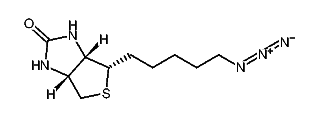
1:721645 C9H8N4O5
hit structure

1
  <<    <    >    >>  

entries in data collection: 723540