Home Browse Text SearchFunctional Group SearchStructure SearchPreferences Administration

selected data collection: 1

IRIS SDF: browse content


1
  <<    <    >    >>  

1:721571 C46H50N10O9
hit structure
1:721572 C55H65N7O12
hit structure
1:721573 C51H53N7O16
hit structure
1:721574 C48H63N13O10
hit structure
1:721575 C23H34N4O4S3
hit structure
1:721576 C14H20N4O4
hit structure
1:721577 C16H15N5
hit structure
1:721578 C27H38D6O2
hit structure
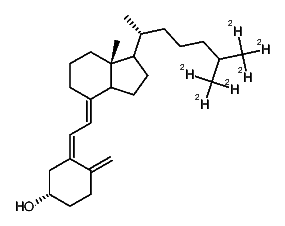
1:721579 C27H40D6O2
hit structure
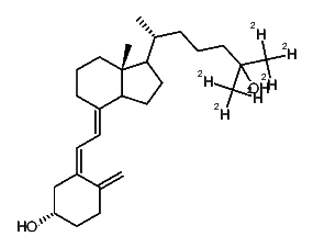
1:721580 C27H38D6O
hit structure
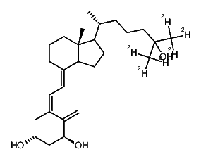
1:721581 C27H38D6O2
hit structure
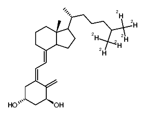
1:721582 C27H38D6O3
hit structure
1:721583 C27H41D3O
hit structure
1:721584 C27H38D6O
hit structure
1:721585 C27H40D6O
hit structure
1:721586 C28H38D6O2
hit structure
1:721587 C28H38D6O2
hit structure
1:721588 C28H38D6O3
hit structure
1:721589 C28H41D3O
hit structure
1:721590 C28H38D6O
hit structure
1:721591 C29H47D3O2
hit structure
1:721592 C29H44D6O2
hit structure
1:721593 C31H46D6O3
hit structure
1:721594 C29H41D9O2
hit structure
1:721595 C31H43D9O3
hit structure

1
  <<    <    >    >>  

entries in data collection: 723540