Home Browse Text SearchFunctional Group SearchStructure SearchPreferences Administration

selected data collection: 1

IRIS SDF: browse content


1
  <<    <    >    >>  

1:721043 C6H11NO2
hit structure
1:721044 C16H26N2O4
hit structure
1:721045 C16H22N2O4
hit structure
1:721046 C18H34N2O4
hit structure
1:721047 C18H30N2O4
hit structure
1:721048 C8H15NO2
hit structure
1:721049 C7H13NO2
hit structure
1:721050 C12H18N2O4
hit structure
1:721051 C14H26N2O4
hit structure
1:721052 C16H30N2O4
hit structure
1:721053 C7H13NO2
hit structure
1:721054 C16H30N2O4
hit structure
1:721055 C14H22N2O4
hit structure
1:721056 C14H22N2O4
hit structure
1:721057 C18H30N2O4
hit structure
1:721058 C6H13NO2
hit structure
1:721059 C7H15NO2
hit structure
1:721060 C8H17NO2
hit structure
1:721061 C9H19NO2
hit structure
1:721062 C7H15NO2
hit structure
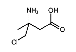
1:721063 C5H10ClNO2
hit structure
1:721064 C6H11NO2
hit structure
1:721065 C9H17NO2
hit structure
1:721066 C10H19NO2
hit structure
1:721067 C7H15NO2
hit structure

1
  <<    <    >    >>  

entries in data collection: 723540