Home Browse Text SearchFunctional Group SearchStructure SearchPreferences Administration

selected data collection: 1

IRIS SDF: browse content


1
  <<    <    >    >>  

1:720527 C24H28N2O6
hit structure
1:720528 C25H30N2O6
hit structure
1:720529 C21H23NO4S
hit structure
1:720530 C26H31NO6
hit structure
1:720531 C27H37NO5Si
hit structure
1:720532 C37H45N7O7S
hit structure
1:720533 C24H28N2O5
hit structure
1:720534 C22H24N4O4
hit structure
1:720535 C35H44N2O6
hit structure
1:720536 C25H28N2O5
hit structure
1:720537 C28H28N2O8S
hit structure
1:720538 C29H27N5O3S
hit structure
1:720539 C26H19N3O4S2
hit structure
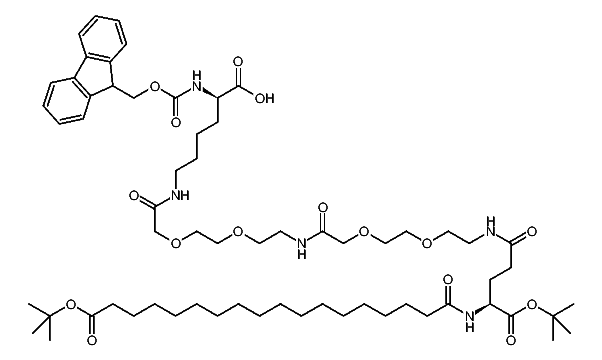
1:720540 C64H101N5O16
hit structure
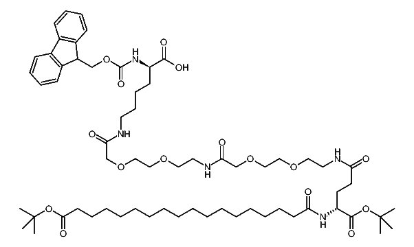
1:720541 C64H101N5O16
hit structure
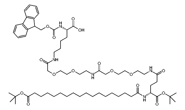
1:720542 C64H101N5O16
hit structure
1:720543 C22H21NO4S
hit structure
1:720544 C25H28N2O6
hit structure
1:720545 C24H24N2O6
hit structure
1:720546 C28H36N2O6
hit structure
1:720547 C39H34N2O5
hit structure
1:720548 C22H23NO4
hit structure
1:720549 C28H34N2O7
hit structure
1:720550 C29H36N2O7
hit structure
1:720551 C30H38N2O7
hit structure

1
  <<    <    >    >>  

entries in data collection: 723540