Home Browse Text SearchFunctional Group SearchStructure SearchPreferences Administration

selected data collection: 1

IRIS SDF: browse content


1
  <<    <    >    >>  

1:717586 C29H31NO5
hit structure
1:717587 C31H37NO6
hit structure
1:717588 C32H39NO6
hit structure
1:717589 C37H41NO6
hit structure
1:717590 C29H33NO5
hit structure
1:717591 C40H42N2O7
hit structure
1:717592 C89H91N7O14
hit structure
1:717593 C96H98N8O15
hit structure
1:717594 C25H50N4O6
hit structure
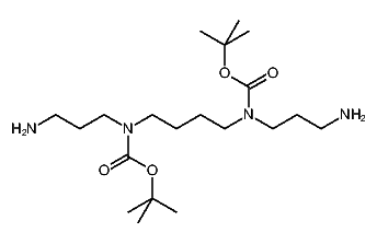
1:717595 C20H42N4O4
hit structure
1:717596 C39H56N4O9
hit structure
1:717597 C10H24N6
hit structure
1:717598 C31H58N4O10
hit structure
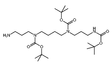
1:717599 C20H42N4O4
hit structure
1:717600 C10H22N8
hit structure
1:717601 C29H54N4O9
hit structure
1:717602 C25H48N6O6
hit structure
1:717603 C28H50N4O10
hit structure
1:717604 CH2Cl2
hit structure
1:717605 C3H7NO
hit structure
1:717606 C4H10O
hit structure
1:717607 C3H2F6O
hit structure
1:717608 C5H9NO
hit structure
1:717609 C5H11N
hit structure
1:717610 C2HF3O2
hit structure

1
  <<    <    >    >>  

entries in data collection: 717910