Home Browse Text SearchFunctional Group SearchStructure SearchPreferences Administration

selected data collection: 1

IRIS SDF: browse content


1
  <<    <    >    >>  

1:717261 C57H62N6O5S
hit structure
1:717262 C27H21N3O7S2
hit structure
1:717263 C29H39N9O4S
hit structure
1:717264 C28H39N7O4S
hit structure
1:717265 C22H26F5N3O4S
hit structure
1:717266 C8H10S2
hit structure
1:717267 C15H16N2O3S2
hit structure
1:717268 C10H12O5S
hit structure
1:717269 C26H27F4N4NaO10S
hit structure
1:717270 C7H14N2
hit structure
1:717271 C15H12N5NaO7S
hit structure
1:717272 C20H18N2O3S2
hit structure
1:717273 C18H18N6O2
hit structure
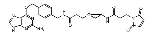
1:717274 C27H36N6O7
hit structure
1:717275 C10H10N2O3
hit structure
1:717276 C19H23N9O2
hit structure
1:717277 C24H33N9O6
hit structure
1:717278 C12H21N5O4
hit structure
1:717279 C20H19N7O4
hit structure
1:717280 C31H40N8O9
hit structure
1:717281 C21H21N7O2S2
hit structure
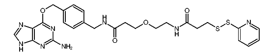
1:717282 C26H30N8O4S2
hit structure
1:717283 C34H31N7O3
hit structure
1:717284 C24H22N2O2
hit structure
1:717285 C23H21F9N4O4S
hit structure

1
  <<    <    >    >>  

entries in data collection: 717910