Home Browse Text SearchFunctional Group SearchStructure SearchPreferences Administration

selected data collection: 1

IRIS SDF: browse content


1
  <<    <    >    >>  

1:717211 C13H19N3O3
hit structure
1:717212 C11H15N5O4
hit structure
1:717213 C15H25N3O4S3
hit structure
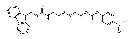
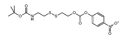
1:717214 C23H26N2O5S2
hit structure
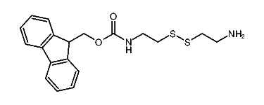
1:717215 C10H18N4O3S2
hit structure
1:717216 C10H15NO3S2
hit structure
1:717217 C53H59N3O5S
hit structure
1:717218 C53H60N4O4S
hit structure
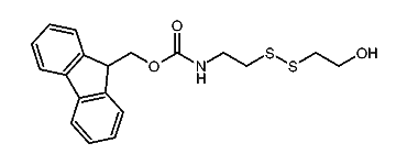
1:717219 C19H22N2O2S2
hit structure
1:717220 C14H26N4O2S3
hit structure
1:717221 C9H12N2O4
hit structure
1:717222 C7H8N2O2
hit structure
1:717223 C17H21N3O8
hit structure
1:717224 C10H12N2O6
hit structure
1:717225 C15H21NO4
hit structure
1:717226 C28H31N3O8
hit structure
1:717227 C12H18N4O4
hit structure
1:717228 C13H19N3O2S
hit structure
1:717229 C14H12N2O5S2
hit structure
1:717230 C9H19NO3S2
hit structure
1:717231 C16H22N2O7S2
hit structure
1:717232 C19H21NO3S2
hit structure
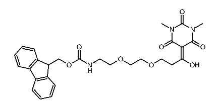
1:717233 C26H24N2O7S2
hit structure
1:717234 C19H14N2O5S2
hit structure
1:717235 C14H21NO3S2
hit structure

1
  <<    <    >    >>  

entries in data collection: 717910