Home Browse Text SearchFunctional Group SearchStructure SearchPreferences Administration

selected data collection: 1

IRIS SDF: browse content


1
  <<    <    >    >>  

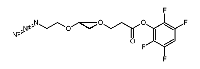
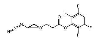
1:716711 C17H21F4N3O6
hit structure
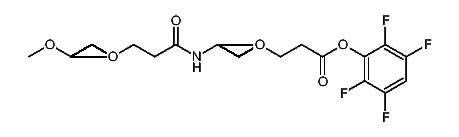
1:716712 C33H53F4N3O14
hit structure
1:716713 C47H83N7O21
hit structure
1:716714 C86H159N3O43
hit structure
1:716715 C71H131N7O33
hit structure
1:716716 C28H56O15
hit structure
1:716717 C32H59NO17
hit structure
1:716718 C34H56F4O15
hit structure
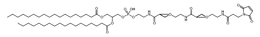
1:716719 C150H289N4O61P
hit structure
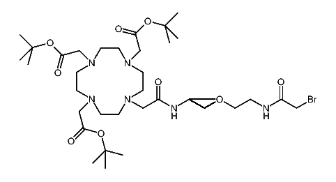
1:716720 C30H49BrF6N6O15
hit structure
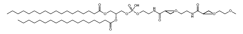
1:716721 C118H233N2O46P
hit structure
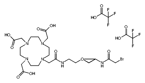
1:716722 C42H79BrN6O19
hit structure
1:716723 C144H285N2O59P
hit structure
1:716724 C109H205F4NO52
hit structure
1:716725 C25H28O3S
hit structure
1:716726 C103H205NO52
hit structure
1:716727 C78H151BrN6O31
hit structure
1:716728 C117H214N2O53
hit structure
1:716729 C110H210N2O53
hit structure
1:716730 C102H204N2O51
hit structure
1:716731 C28H54Br2N2O13
hit structure
1:716732 C193H296N12O60
hit structure
1:716733 C64H82N4O15
hit structure
1:716734 C93H184NO34P
hit structure
1:716735 C163H299N4O60P
hit structure

1
  <<    <    >    >>  

entries in data collection: 723540