Home Browse Text SearchFunctional Group SearchStructure SearchPreferences Administration

selected data collection: 1

IRIS SDF: browse content


1
  <<    <    >    >>  

1:716611 C14H27NO7
hit structure
1:716612 C18H32N6O5S
hit structure
1:716613 C21H35N3O6S
hit structure
1:716614 C11H22N4O4
hit structure
1:716615 C25H30N2O7
hit structure
1:716616 C6H14N4O2
hit structure
1:716617 C22H43NO5
hit structure
1:716618 C13H12F4N4O5
hit structure
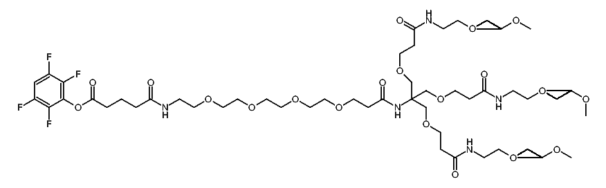
1:716619 C104H191F4N5O47
hit structure
1:716620 C57H107NO29S
hit structure
1:716621 C23H28N2O11
hit structure
1:716622 C18H29NO11
hit structure
1:716623 C34H61NO19
hit structure
1:716624 C31H45N5O13
hit structure
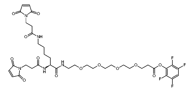
1:716625 C37H45F4N5O13
hit structure
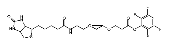
1:716626 C43H69F4N3O16S
hit structure
1:716627 C18H34N4O6S
hit structure
1:716628 C14H26N4O6
hit structure
1:716629 C25H30N2O8
hit structure
1:716630 C59H116NO17P
hit structure
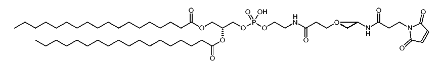
1:716631 C75H140N3O24P
hit structure
1:716632 C25H44N4O8S
hit structure
1:716633 C10H18N4O5
hit structure
1:716634 C10H21N3O5
hit structure
1:716635 C16H34O8S
hit structure

1
  <<    <    >    >>  

entries in data collection: 723540