Home Browse Text SearchFunctional Group SearchStructure SearchPreferences Administration

selected data collection: 1

IRIS SDF: browse content


1
  <<    <    >    >>  

1:716336 C18H23N3O9
hit structure
1:716337 C62H111N3O31
hit structure
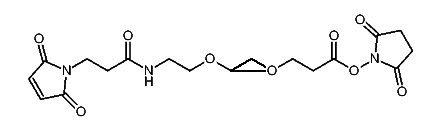
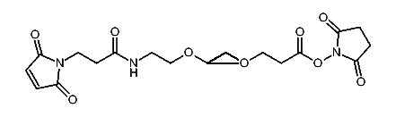
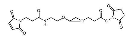
1:716338 C18H28N2O9
hit structure
1:716339 C22H31N3O11
hit structure
1:716340 C26H39N3O13
hit structure
1:716341 C30H47N3O15
hit structure
1:716342 C41H71N5O16S
hit structure
1:716343 C58H108N2O29
hit structure
1:716344 C27H43N5O8S
hit structure
1:716345 C26H44N2O13
hit structure
1:716346 C10H20O6
hit structure
1:716347 C18H36O10
hit structure
1:716348 C6H12O4
hit structure
1:716349 C52H104O27
hit structure
1:716350 C25H53NO12
hit structure
1:716351 C25H51N3O12
hit structure
1:716352 C32H58N2O15
hit structure
1:716353 C49H101NO24
hit structure
1:716354 C56H106N2O27
hit structure
1:716355 C9H21NO4
hit structure
1:716356 C9H19N3O4
hit structure
1:716357 C17H37NO8
hit structure
1:716358 C17H35N3O8
hit structure
1:716359 C49H99N3O24
hit structure
1:716360 C15H33NO7
hit structure

1
  <<    <    >    >>  

entries in data collection: 729170