Home Browse Text SearchFunctional Group SearchStructure SearchPreferences Administration

selected data collection: 1

IRIS SDF: browse content


1
  <<    <    >    >>  

1:716211 C14H16N2O6
hit structure
1:716212 C14H16N2O6
hit structure
1:716213 C14H16N2O6
hit structure
1:716214 C14H16N2O6
hit structure
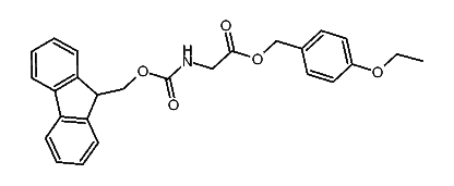
1:716215 C34H38N2O7S
hit structure
1:716216 C34H38N2O7S
hit structure
1:716217 C24H47NO5
hit structure
1:716218 C16H36N2O7
hit structure
1:716219 C70H127N3O35
hit structure
1:716220 C74H129NO32
hit structure
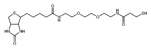
1:716221 C19H34N4O5S2
hit structure
1:716222 C19H34N4O5S2
hit structure
1:716223 C19H34N4O5S2
hit structure
1:716224 C7H15N3O3
hit structure
1:716225 C12H24N2O7
hit structure
1:716226 C54H48N2O6
hit structure
1:716227 C39H41NO7
hit structure
1:716228 C26H25NO5
hit structure
1:716229 C55H47N3O5
hit structure
1:716230 C36H37NO5
hit structure
1:716231 C36H37NO5
hit structure
1:716232 C41H46N2O7
hit structure
1:716233 C35H35NO5S
hit structure
1:716234 C36H37NO5
hit structure
1:716235 C40H44N2O7
hit structure

1
  <<    <    >    >>  

entries in data collection: 729170