Home Browse Text SearchFunctional Group SearchStructure SearchPreferences Administration

selected data collection: 1

IRIS SDF: browse content


1
  <<    <    >    >>  

1:715971 C21H25N5O5
hit structure
1:715972 C13H20N2O2S2
hit structure
1:715973 C18H26N4O2S
hit structure
1:715974 C26H35N3O4S
hit structure
1:715975 C18H26N2O4S
hit structure
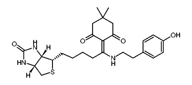
1:715976 C30H47N5O5S
hit structure
1:715977 C187H291N45O59
hit structure
1:715978 C172H265N43O51
hit structure
1:715979 C20H29N3O3S
hit structure
1:715980 C18H18ClFN4O2
hit structure
1:715981 C18H18ClFN4O2
hit structure
1:715982 C26H24N4O2
hit structure
1:715983 C22H19Cl2N5O2
hit structure
1:715984 C22H27FN4O2
hit structure
1:715985 C32H38N8O
hit structure
1:715986 C29H36Cl2N6O3
hit structure
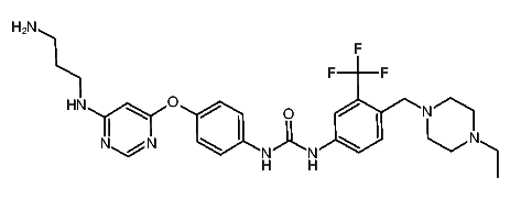
1:715987 C28H35F3N8O2
hit structure
1:715988 C26H23F3N4O4
hit structure
1:715989 C26H23F3N4O4
hit structure
1:715990 C28H45N5O6S3
hit structure
1:715991 C12H21N3O2S2
hit structure
1:715992 C23H42N4O6S2
hit structure
1:715993 C28H30N4O3S
hit structure
1:715994 C20H25N7O2S
hit structure
1:715995 C31H46N8O7S
hit structure

1
  <<    <    >    >>  

entries in data collection: 729170