Home Browse Text SearchFunctional Group SearchStructure SearchPreferences Administration

selected data collection: 1

IRIS SDF: browse content


1
  <<    <    >    >>  

1:715921 C33H42N2O10
hit structure
1:715922 C26H30N2O8
hit structure
1:715923 C49H48N4O8
hit structure
1:715924 C30H38N2O8
hit structure
1:715925 C30H38N2O8
hit structure
1:715926 C35H47N3O10
hit structure
1:715927 C29H36N2O8S
hit structure
1:715928 C33H36N2O8
hit structure
1:715929 C31H40N2O9
hit structure
1:715930 C32H42N2O9
hit structure
1:715931 C40H45N3O10
hit structure
1:715932 C37H44N2O9
hit structure
1:715933 C29H36N2O8
hit structure
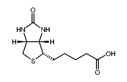
1:715934 C10H16N2O3S
hit structure
1:715935 C7H19N3
hit structure
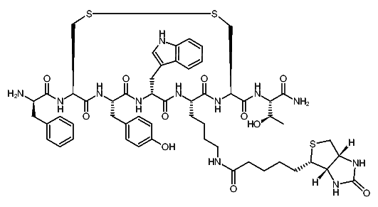
1:715936 C51H70N10O15S2
hit structure
1:715937 C51H61F9N10O15S2
hit structure
1:715938 C55H72N12O11S3
hit structure
1:715939 C90H106N12O13S3
hit structure
1:715940 C16H28N4O4S
hit structure
1:715941 C46H50N10O9
hit structure
1:715942 C55H65N7O12
hit structure
1:715943 C51H53N7O16
hit structure
1:715944 C48H63N13O10
hit structure
1:715945 C23H34N4O4S3
hit structure

1
  <<    <    >    >>  

entries in data collection: 729170