Home Browse Text SearchFunctional Group SearchStructure SearchPreferences Administration

selected data collection: 1

IRIS SDF: browse content


1
  <<    <    >    >>  

1:714973 C15H13NO3
hit structure
1:714974 C19H21NO4
hit structure
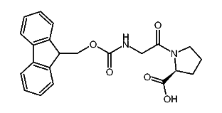
1:714975 C17H19NO3
hit structure
1:714976 C23H27NO5
hit structure
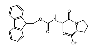
1:714977 C24H29NO5
hit structure
1:714978 C26H34N2O5
hit structure
1:714979 C19H22N2O3
hit structure
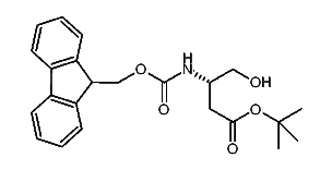
1:714980 C20H20N2O5
hit structure
1:714981 C23H24N2O5
hit structure
1:714982 C40H35N3O6
hit structure
1:714983 C19H18N2O5
hit structure
1:714984 C22H22N2O5
hit structure
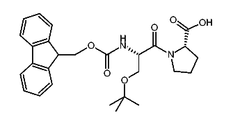
1:714985 C23H26N2O5
hit structure
1:714986 C26H30N2O5
hit structure
1:714987 C23H26N2O5
hit structure
1:714988 C26H30N2O5
hit structure
1:714989 C31H39N3O7
hit structure
1:714990 C26H24N2O5
hit structure
1:714991 C29H28N2O5
hit structure
1:714992 C22H22N2O5
hit structure
1:714993 C25H26N2O5
hit structure
1:714994 C24H28N2O6
hit structure
1:714995 C27H32N2O6
hit structure
1:714996 C25H30N2O6
hit structure
1:714997 C31H29N3O5
hit structure

1
  <<    <    >    >>  

entries in data collection: 717910