Home Browse Text SearchFunctional Group SearchStructure SearchPreferences Administration

selected data collection: 1

IRIS SDF: browse content


1
  <<    <    >    >>  

1:714897 C24H28N2O6
hit structure
1:714898 C25H30N2O6
hit structure
1:714899 C21H23NO4S
hit structure
1:714900 C26H31NO6
hit structure
1:714901 C27H37NO5Si
hit structure
1:714902 C37H45N7O7S
hit structure
1:714903 C24H28N2O5
hit structure
1:714904 C22H24N4O4
hit structure
1:714905 C35H44N2O6
hit structure
1:714906 C25H28N2O5
hit structure
1:714907 C28H28N2O8S
hit structure
1:714908 C29H27N5O3S
hit structure
1:714909 C26H19N3O4S2
hit structure
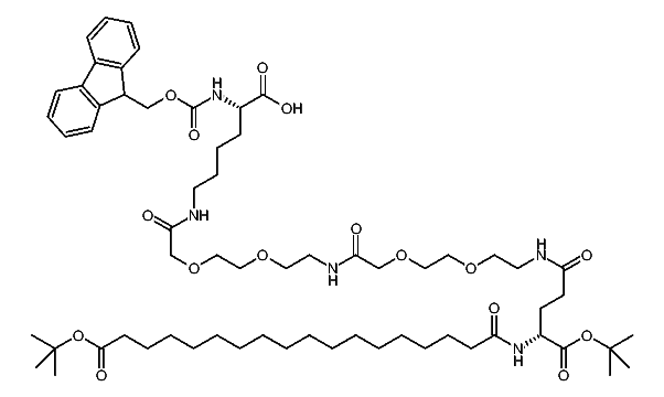
1:714910 C64H101N5O16
hit structure
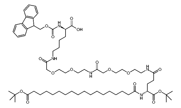
1:714911 C64H101N5O16
hit structure
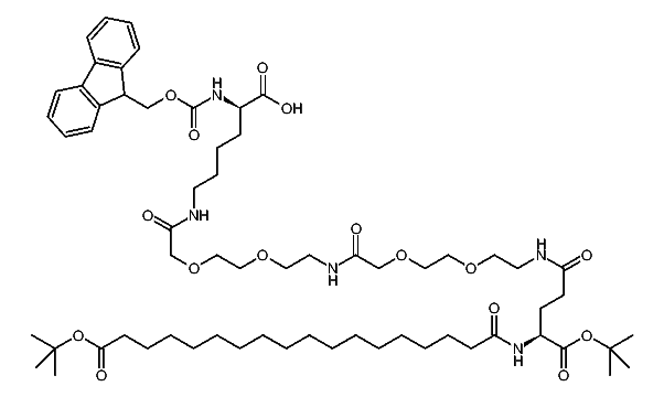
1:714912 C64H101N5O16
hit structure
1:714913 C22H21NO4S
hit structure
1:714914 C25H28N2O6
hit structure
1:714915 C24H24N2O6
hit structure
1:714916 C28H36N2O6
hit structure
1:714917 C39H34N2O5
hit structure
1:714918 C22H23NO4
hit structure
1:714919 C28H34N2O7
hit structure
1:714920 C29H36N2O7
hit structure
1:714921 C30H38N2O7
hit structure

1
  <<    <    >    >>  

entries in data collection: 717910