Home Browse Text SearchFunctional Group SearchStructure SearchPreferences Administration

selected data collection: 1

IRIS SDF: browse content


1
  <<    <    >    >>  

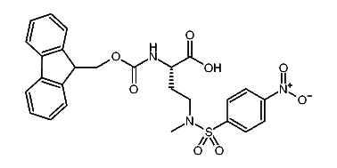
1:714229 C32H31N3O8S
hit structure
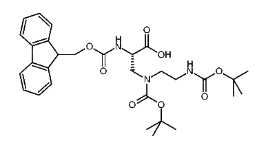
1:714230 C25H30N2O6
hit structure
1:714231 C20H22N2O4
hit structure
1:714232 C26H32N2O6
hit structure
1:714233 C22H26N2O4
hit structure
1:714234 C24H19F2NO4
hit structure
1:714235 C18H16FNO4
hit structure
1:714236 C18H16FNO4
hit structure
1:714237 C48H40F2N2O8
hit structure
1:714238 C26H25N3O8S
hit structure
1:714239 C30H23F2NO4
hit structure
1:714240 C26H25N3O8S
hit structure
1:714241 C24H18F9NO5
hit structure
1:714242 C24H18F9NO5
hit structure
1:714243 C20H18F3NO4S
hit structure
1:714244 C30H39N3O8
hit structure
1:714245 C20H19N3O4
hit structure
1:714246 C26H30N4O6
hit structure
1:714247 C21H21N3O4
hit structure
1:714248 C20H17N3O4
hit structure
1:714249 C20H18N4O4
hit structure
1:714250 C24H24N2O6
hit structure
1:714251 C35H40N4O8
hit structure
1:714252 C32H43N3O7
hit structure
1:714253 C37H49N5O7S
hit structure

1
  <<    <    >    >>  

entries in data collection: 1028520