Home Browse Text SearchFunctional Group SearchStructure SearchPreferences Administration

selected data collection: 1

IRIS SDF: browse content


1
  <<    <    >    >>  

1:712210 C19H28N2O6
hit structure
1:712211 C18H19NO5
hit structure
1:712212 C14H19NO6
hit structure
1:712213 C20H21NO6
hit structure
1:712214 C22H24N2O8S2
hit structure
1:712215 C14H19N5O6
hit structure
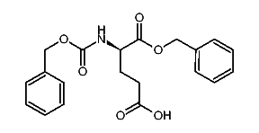
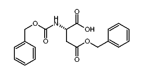
1:712216 C12H14N2O5
hit structure
1:712217 C17H23NO4
hit structure
1:712218 C24H32N4O7S
hit structure
1:712219 C14H19N5O6
hit structure
1:712220 C19H19NO6
hit structure
1:712221 C20H24N2O8
hit structure
1:712222 C12H15NO4
hit structure
1:712223 C13H16N2O5
hit structure
1:712224 C13H15NO6
hit structure
1:712225 C20H22N2O6
hit structure
1:712226 C18H22N2O6
hit structure
1:712227 C21H20N2O6
hit structure
1:712228 C16H15NO4
hit structure
1:712229 C13H13NO5
hit structure
1:712230 C11H13NO5
hit structure
1:712231 C17H17NO5
hit structure
1:712232 C14H17NO6
hit structure
1:712233 C21H26N2O8
hit structure
1:712234 C17H23NO6
hit structure

1
  <<    <    >    >>  

entries in data collection: 712280